(高三)衡水名师卷·高考模拟检测卷 湖南省2024年普通高等学校招生全国统一考试模拟试题 政治(一)1答案
发布时间:2023-11-23 11:36:38
衡水名师卷·高考模拟检测卷 湖南省2024年普通高等学校招生全国统一考试模拟试题 政治(一)1答案,目前分科卷答案网已经汇总了衡水名师卷·高考模拟检测卷 湖南省2024年普通高等学校招生全国统一考试模拟试题 政治(一)1答案的各科答案和试卷,获取更多衡水名师卷答案解析,请在关注本站。
查看完整版资源,请使用微信扫码下方二维码
相关资源
- 衡水名师卷高考模拟检测卷 安徽省2024年普通高等学校招生全国统一考试模拟试题 化学(一)1试题
- (高三)[衡水名师卷]高考模拟检测卷 安徽省2024年普通高等学校招生全国统一考试模拟试题 化学(一)1答案
- [高三]衡水名师卷高考模拟检测卷 湖南省2024年普通高等学校招生全国统一考试模拟试题 化学(一)1答案
- [衡水名师卷]高考模拟检测卷 湖南省2024年普通高等学校招生全国统一考试模拟试题 化学(一)1试题
- 衡水名师卷高考模拟检测卷 2024年普通高中学业水平选择性考试模拟试题 历史(双菱形)(一)1试题
- [衡水名师卷]高考模拟检测卷 2024年普通高中学业水平选择性考试模拟试题 历史(双菱形)(一)1答案
- [衡水名师卷]·高考模拟检测卷 安徽省2024年普通高等学校招生全国统一考试模拟试题 历史(一)1答案
- (衡水名师卷)·高考模拟检测卷 安徽省2024年普通高等学校招生全国统一考试模拟试题 历史(一)1试题
- (高三)[衡水名师卷]·高考模拟检测卷 湖南省2024年普通高等学校招生全国统一考试模拟试题 历史(一)1答案
- [衡水名师卷]高考模拟检测卷 湖南省2024年普通高等学校招生全国统一考试模拟试题 历史(一)1试题
- 高三(衡水名师卷)高考模拟检测卷 安徽省2024年普通高等学校招生全国统一考试模拟试题 地理(一)1试题
- (高三)(衡水名师卷)·高考模拟检测卷 安徽省2024年普通高等学校招生全国统一考试模拟试题 地理(一)1答案
- (高三)[衡水名师卷]·高考模拟检测卷 湖南省2024年普通高等学校招生全国统一考试模拟试题 地理(一)1试题
- [高三][衡水名师卷]·高考模拟检测卷 湖南省2024年普通高等学校招生全国统一考试模拟试题 地理(一)1答案
- [高三][衡水名师卷]·高考模拟检测卷 安徽省2024年普通高等学校招生全国统一考试模拟试题 政治(一)1试题
- (衡水名师卷)高考模拟检测卷 安徽省2024年普通高等学校招生全国统一考试模拟试题 政治(一)1答案
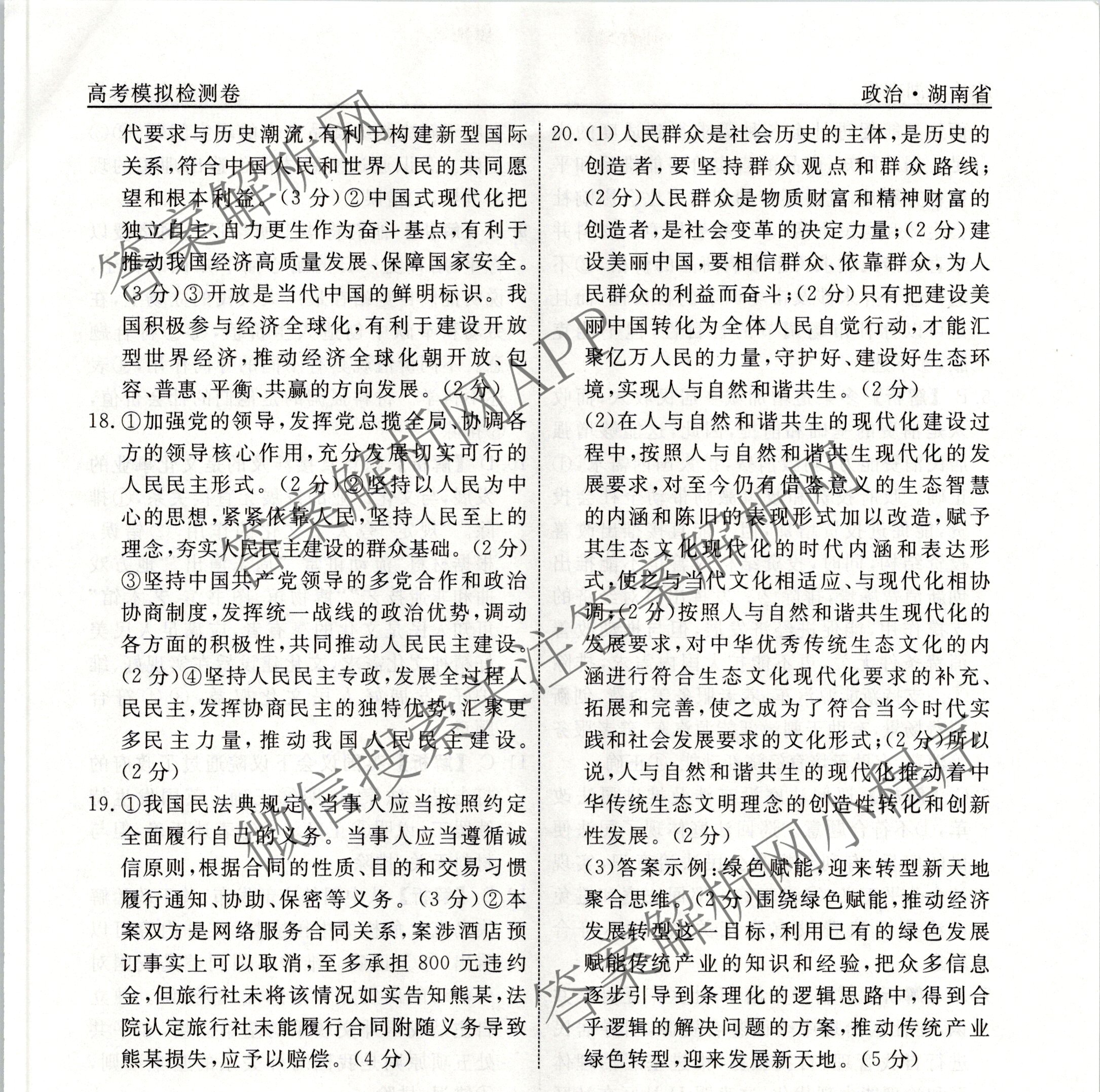
- (高三)衡水名师卷·高考模拟检测卷 湖南省2024年普通高等学校招生全国统一考试模拟试题 政治(一)1答案
- [高三](衡水名师卷)高考模拟检测卷 湖南省2024年普通高等学校招生全国统一考试模拟试题 政治(一)1试题
- [衡水名师卷]高考模拟检测卷 2024年普通高等学校招生全国统一考试模拟试题 数学(一)1答案
- 衡水名师卷高考模拟检测卷 2024年普通高等学校招生全国统一考试模拟试题 数学(一)1试题
- (高三)(衡水名师卷)·高考模拟检测卷 安徽省2024年普通高等学校招生全国统一考试模拟试题 物理(一)1答案
- (高三)[衡水名师卷]高考模拟检测卷 安徽省2024年普通高等学校招生全国统一考试模拟试题 物理(一)1试题
- (高三)衡水名师卷高考模拟检测卷 湖南省2024年普通高等学校招生全国统一考试模拟试题 物理(一)1答案
- (衡水名师卷)高考模拟检测卷 湖南省2024年普通高等学校招生全国统一考试模拟试题 物理(一)1试题
- [高三](衡水名师卷)高考模拟检测卷 2024年普通高中学业水平选择性考试模拟试题 生物(双圆形)(一)1答案
- (衡水名师卷)高考模拟检测卷 2024年普通高中学业水平选择性考试模拟试题 生物(双圆形)(一)1试题
- 衡水名师卷高考模拟检测卷 2024年普通高中学业水平选择性考试模拟试题 生物(双菱形)(一)1答案
- (衡水名师卷)·高考模拟检测卷 2024年普通高中学业水平选择性考试模拟试题 生物(双菱形)(一)1试题
- (高三)衡水名师卷高考模拟检测卷 安徽省2024年普通高等学校招生全国统一考试模拟试题 生物(一)1答案
- (衡水名师卷)·高考模拟检测卷 安徽省2024年普通高等学校招生全国统一考试模拟试题 生物(一)1试题
- [衡水名师卷]高考模拟检测卷 湖南省2024年普通高等学校招生全国统一考试模拟试题 生物(一)1试题
- [高三]衡水名师卷高考模拟检测卷 湖南省2024年普通高等学校招生全国统一考试模拟试题 生物(一)1答案
- (高三)(衡水名师卷)·高考模拟检测卷 2024年普通高等学校招生全国统一考试模拟试题 英语(新教材)(一)1试题
- [高三][衡水名师卷]·高考模拟检测卷 2024年普通高等学校招生全国统一考试模拟试题 英语(新教材)(一)1答案
- (衡水名师卷)高考模拟检测卷 2024年普通高等学校招生全国统一考试模拟试题 语文(一)1试题
- (高三)(衡水名师卷)·高考模拟检测卷 2024年普通高等学校招生全国统一考试模拟试题 语文(一)1答案
本套题全部资源
-
化学(安徽省)
-
化学(湖南省)
-
历史(双菱形)
-
历史(安徽省)
-
历史(湖南省)
-
地理(安徽省)
-
地理(湖南省)
-
政治(安徽省)
-
政治(湖南省)
-
数学
-
物理(安徽省)
-
物理(湖南省)
-
生物(双圆形)
-
生物(双菱形)
-
生物(安徽省)
-
生物(湖南省)
-
英语(新教材)
-
语文